振動臺正弦掃頻和隨機振動試驗選型公式參考!
振動臺做振動試驗,是指評定產品在預期的使用環境中抗振能力,對受振動的實物或模型進行的試驗,振動試驗具體的原理示意圖如下圖所示。

根據施加的振動載荷的類型,把振動試驗分為正弦振動試驗和隨機振動試驗兩種。本文主要對正弦掃頻和隨機振動試驗常用公式進行推導。
一 正弦掃頻試驗
1. 振動臺推力計算

式中,F 為推力 (N);m0 為振動臺運動部分有效質量 (kg);m1 為輔助臺面質量 (kg);m2 為試件(包括夾具、安裝螺釘)質量 (kg);A 為試驗加速度 (m/s²)。
2. 加速度 (A)、速度 (V)、位移 (D),三個振動參數的互換運算公式

式中,A 為試驗加速度 (m/s²);V 為試驗速度 (m/s);ω=2πf(角速度),f 為試驗頻率 (Hz)。

式中,V 和ω 與上式同義,D 為位移 (mm0-p) 單峰值。

式中,A、D 與以上同義,該公式亦可簡化為:

式中,A 的單位為g,1g=9.8m/s²。所以

這時A 的單位為m/s²。
3. 定振級掃頻試驗平滑交越點頻率的計算公式
加速度與速度平滑交越點頻率的計算公式:

式中,fA-V 為加速度與速度平滑交越點頻率 (Hz)。(A 和V 與前面同義)
速度與位移平滑交越點頻率的計算公式:

式中,fV-D 為加速度與速度平滑交越點頻率 (Hz)。(V 和D 與前面同義)。
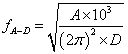
加速度與位移平滑交越點頻率的計算公式:

式中,fA-D 為加速度與位移平滑交越點頻率 (Hz),A 的單位是m/s²。
4. 掃描時間和掃描速率的計算公式
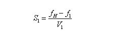
線性掃描比較簡單

式中,S1 為掃描時間 (s 或 min);fH-fL 為掃描寬帶,其中fH 為上限頻率,fL 為下限頻率 (Hz);V1 為掃描速率 (Hz/min 或 Hz/s)。
對數掃頻,倍頻程的計算公式如下所示:

式中,n 為倍頻程 (oct);fH 為上限頻率 (Hz);fL 為下限頻率 (Hz)。
掃描速率計算公式

式中,R 為掃描速率 (oct/min 或 oct/s);fH 為上限頻率 (Hz),fL 為下限頻率 (Hz);T 為掃描時間。
掃描時間計算公式

式中,T 為掃描時間 (min 或 s);n 為倍頻程 (oct);R 為掃描速率 (oct/min 或 oct/s)。
二 隨機振動試驗
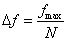
1. 頻率分辨率計算公式

式中,△f 為頻率分辨力 (Hz);fmax 為最高控制頻率;N 為譜線數(線數);fmax是△f 的整倍數。
2. 隨機振動加速度總均方根值的計算

功率譜密度曲線圖
平直譜計算公式

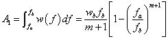
升譜計算公式

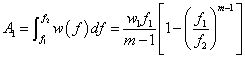
降譜計算公式

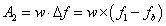
式中,m=N/3,N 為譜線的斜率 (dB/octive)。加速度總均方根值:

利用升譜公式計算得:

利用平直譜公式計算得:

利用降譜公式計算得:

利用加速度總均方根值公式計算得:

3. 利用曲線圍成面積,計算加速度總均方根值

功率譜密度曲線圖
為了簡便起見,往往將功率譜密度曲線圖劃分成若干矩形和三角形,并利用上升斜率(如3dB/oct)和下降斜率(如-6dB/oct)分別算出wa 和w2,然后求各個幾何形狀的面積與面積和,再開方求出加速度總均方根值。

注意:這種計算方法的結果往往比用升降譜計算結果要大,作為大概估算可用,但要精確計算就不能用。
舉例:
設w=wb+w1=0.2g²/Hz,fa=10Hz,fb=20Hz,f1=1000Hz,f2=2000Hz,由于fa 的wa 升至fb 的wb 處,斜率是3dB/oct,而wb=0.2g²/Hz,所以wa=0.1g²/Hz。
又由于f1 的w1 降至f2 的w2 處,斜率是-6dB/oct,而w1=0.2g²/Hz。所以w2=0.05g²/Hz,將功率譜密度曲線劃分成三個長方形 (A1、A2、A3) 和兩個三角形 (A4、A5),再分別求出各幾何形的面積,則





加速度總均方根值

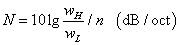
4. 求加速度功率譜密度斜率 (dB/oct) 公式

式中:
,wH 為頻率fH 處的加速度功率譜密度值 (g²/Hz),wL 為頻率fL 處的加速度功率譜密度值(g²/Hz)。







